This research project was directed toward the analysis of the cyclic plastic behavior of polymer glasses in relation to ageing/rejuvenation processes. New contact methods using thin (10-100 µm) films were developed in order to investigate the changes in the shear properties of polymers during and after cyclic plastic deformations. Issues related to viscoelastic and plastic behaviour under hydrostatic pressure were also addressed.
With Eric Janiaud, Eric Gacoin and C. Fretigny
Collaboration with A. Lyulin and D. Hutzinskii, TUe, Eindhoven
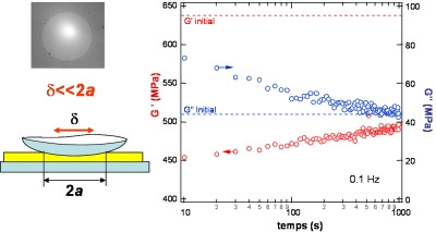
Cyclic yield processes have been investigated at temperatures well below the glass transition temperature using an original contact method. A thin film (about 10 microns in thickness) is sheared within a contact between elastic glass substrates. If the applied displacement is kept low enough (a few hundreds of nanometers), the film can be sheared both in the linear and non linear regime without any significant slippage at the contact interface. In such a situation, the contact lateral response then provides information regarding the changes in the rheology of the polymer layer which are induced by cyclic yield. As compared to conventional mechanical testing using bulk specimens, this methodology presents the advantage of allowing an investigation of the cyclic yield regime without the complications arising from fracture. Mechanical "rejuvenation" followed by a recovery of the viscoelastic properties are evidenced after cyclic yield.

Recovery of the viscoelastic modulus of a thin film after cyclic plastic deformation
Related Publications
E. Janiaud, A. Chateauminois and C. Fretigny
Cyclic non linear behavior of a glassy polymer using a contact method
Journal of Polymer Science B: Polymer Physics 49 (2011) 599-610
A.V. Lyulin, D. Hudzinskyy, E. Janiaud and A. Chateauminois
Competition of Time and Spatial Scales in Polymer Glassy Dynamics: Rejuvenation and Confinement Effects
Journal of Non Crystalline Solids 357 (2011) 567-574
A. Chateauminois, C. Fretigny and E. GacoinMechanical properties of thin polymer films
in Polymer Tribology, S. Sinha and B.J. Briscoe Eds, Imperial College Press , 2009
E. Gacoin, C. Fretigny, A. Chateauminois
Measurement of the mechanical properties of thin films mechanically confined within contacts
Tribology Letters 21, N°3 (2006) 245-252
E. Gacoin, C. Fretigny, A. Chateauminois
Measurements of the viscoelastic moduli of an acrylate polymer in bulk and film form using a contact method
Polymer 45 (2004) 3789-3796


